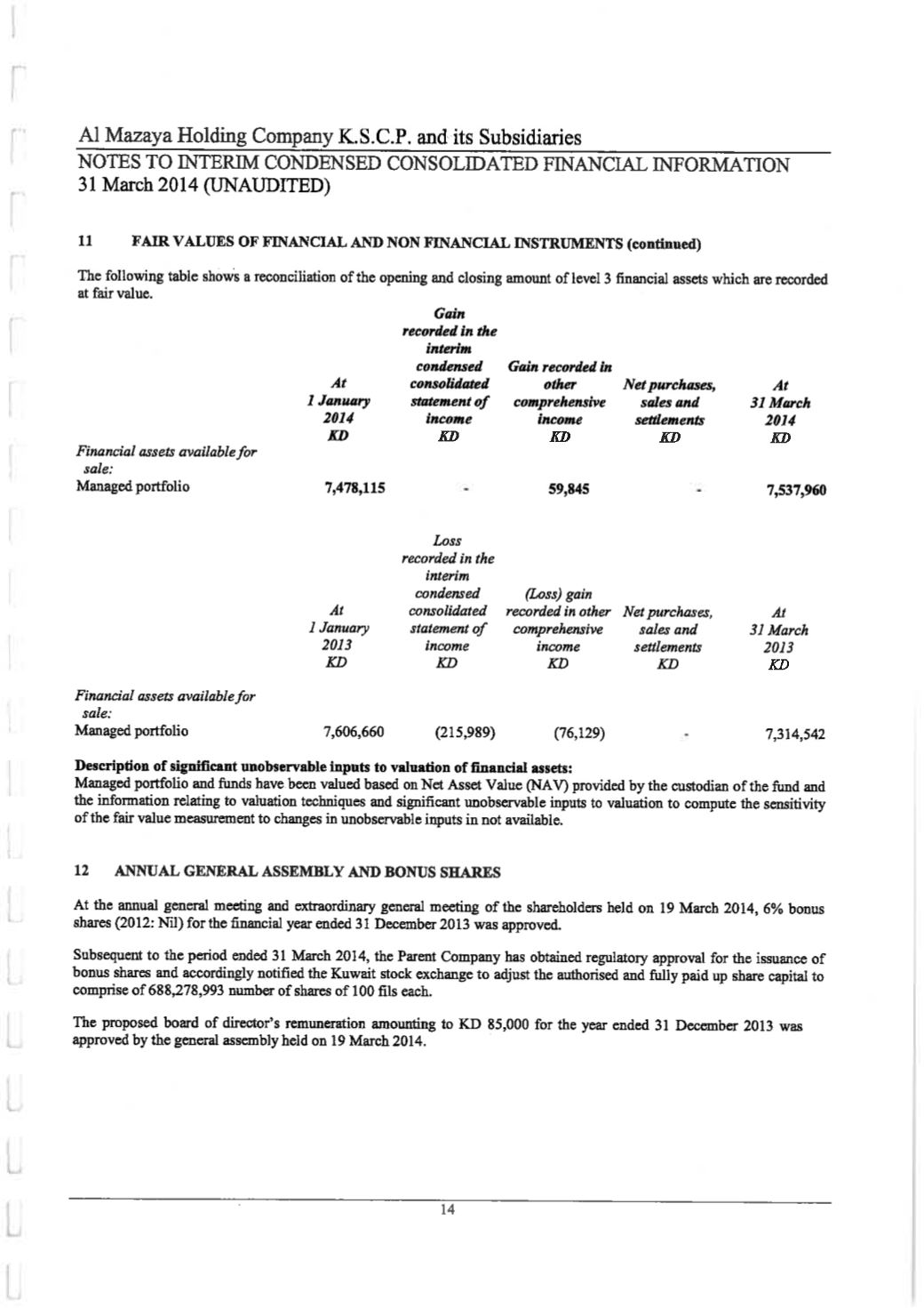
15 / 15
15 / 15