Previous Page  17 / 17
Information
Show Menu
Previous Page 17 / 17
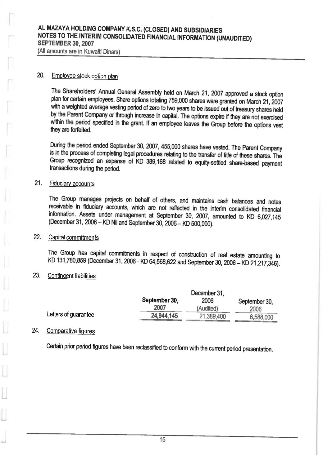
Page Background